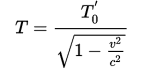
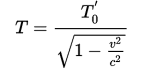
الإبطاء الزمني تحميل الصورة رابط الصورة تقلص الأطوال بسبب السرعة تحميل الصورة رابط الصورة زيادة الكثلة بسبب السرعة تحميل الصورة رابط الصورة منذ أكثر من 8 سنوات 3 مشاهدة